문제
https://www.acmicpc.net/problem/1991
1991번: 트리 순회
첫째 줄에는 이진 트리의 노드의 개수 N(1 ≤ N ≤ 26)이 주어진다. 둘째 줄부터 N개의 줄에 걸쳐 각 노드와 그의 왼쪽 자식 노드, 오른쪽 자식 노드가 주어진다. 노드의 이름은 A부터 차례대로 알파
www.acmicpc.net
이진 트리를 입력받아 전위 순회(preorder traversal), 중위 순회(inorder traversal), 후위 순회(postorder traversal)한 결과를 출력하는 프로그램을 작성하시오.

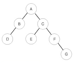
예를 들어 위와 같은 이진 트리가 입력되면,
- 전위 순회한 결과 : ABDCEFG // (루트) (왼쪽 자식) (오른쪽 자식)
- 중위 순회한 결과 : DBAECFG // (왼쪽 자식) (루트) (오른쪽 자식)
- 후위 순회한 결과 : DBEGFCA // (왼쪽 자식) (오른쪽 자식) (루트)
가 된다.
소스코드
package tree;
import java.io.BufferedReader;
import java.io.InputStreamReader;
import java.util.HashMap;
import java.util.StringTokenizer;
public class BOJ1991 {
public static class Child {
String left;
String right;
public Child(String left, String right){
this.left = left;
this.right = right;
}
}
public static void main(String[] args) throws Exception {
BufferedReader br = new BufferedReader(new InputStreamReader(System.in));
int N = Integer.parseInt(br.readLine());
StringTokenizer st = null;
HashMap<String, Child> tree = new HashMap<String, Child>();
for(int i = 0; i < N; i++){
st = new StringTokenizer(br.readLine());
String val = st.nextToken();
String left = st.nextToken();
String right = st.nextToken();
tree.put(val, new Child(left, right));
}
StringBuilder sb = new StringBuilder();
// 전위 순회
preOrder(sb, tree, "A");
sb.append("\n");
// 중위 순회
inOrder(sb, tree, "A");
sb.append("\n");
// 후위 순회
postOrder(sb, tree, "A");
System.out.println(sb.toString());
}
public static void preOrder(StringBuilder sb, HashMap<String, Child> tree, String parent){
if(parent.equals(".")) return;
sb.append(parent);
Child c = tree.get(parent);
preOrder(sb, tree, c.left);
preOrder(sb, tree, c.right);
}
public static void inOrder(StringBuilder sb, HashMap<String, Child> tree, String parent){
if(parent.equals(".")) return;
Child c = tree.get(parent);
inOrder(sb, tree, c.left);
sb.append(parent);
inOrder(sb, tree, c.right);
}
private static void postOrder(StringBuilder sb, HashMap<String, Child> tree, String parent) {
if(parent.equals(".")) return;
Child c = tree.get(parent);
postOrder(sb, tree, c.left);
postOrder(sb, tree, c.right);
sb.append(parent);
}
}'💡Problem Solving > BOJ' 카테고리의 다른 글
| [BOJ 2110] 공유기 설치 (Java, Python) (0) | 2021.11.29 |
|---|---|
| [BOJ 9252] LCS 2 (최장 공통 부분 수열) (0) | 2021.11.28 |
| [BOJ 1238] 파티 (Java) (0) | 2021.11.26 |
| [BOJ 4485] 녹색 옷 입은 애가 젤다지? (Java) (0) | 2021.11.26 |
| [BOJ 10830] 행렬 제곱 (Java) (0) | 2021.11.25 |